企业简介
荣誉资质
专利证书
FT-MINI机载激光扫描仪
FT-800机载激光雷达
FT-800H机载激光扫描仪
FT-1200机载激光雷达
FT-1200H机载激光扫描仪
FT-1500机载激光雷达
FT-1500H机载激光扫描仪
MT-HEX机载激光雷达
MT-HEX机载激光扫描仪
FT-2000机载激光雷达
FT-2000H机载激光扫描仪
FT-3000机载激光雷达
PRO-360车载激光扫描仪
D-800车载激光扫描仪
地形测量
林业调查
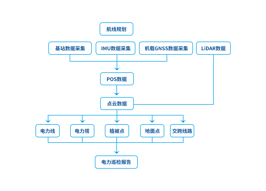
电力巡线
岸线测量
意见反馈
联系我们
企业新闻
行业动态
常见问题
机载激光雷达系统具有快速获取高精度激光点云和高分辨率数码影像的优点,无论是对新建线路的走向选择设计,还是对已建线路的危险点巡线检查、线路资产管理以及各种专业分析,都带来了传统测绘手段所不具备的作业模式和技术优势。
项目流程图
案例展示